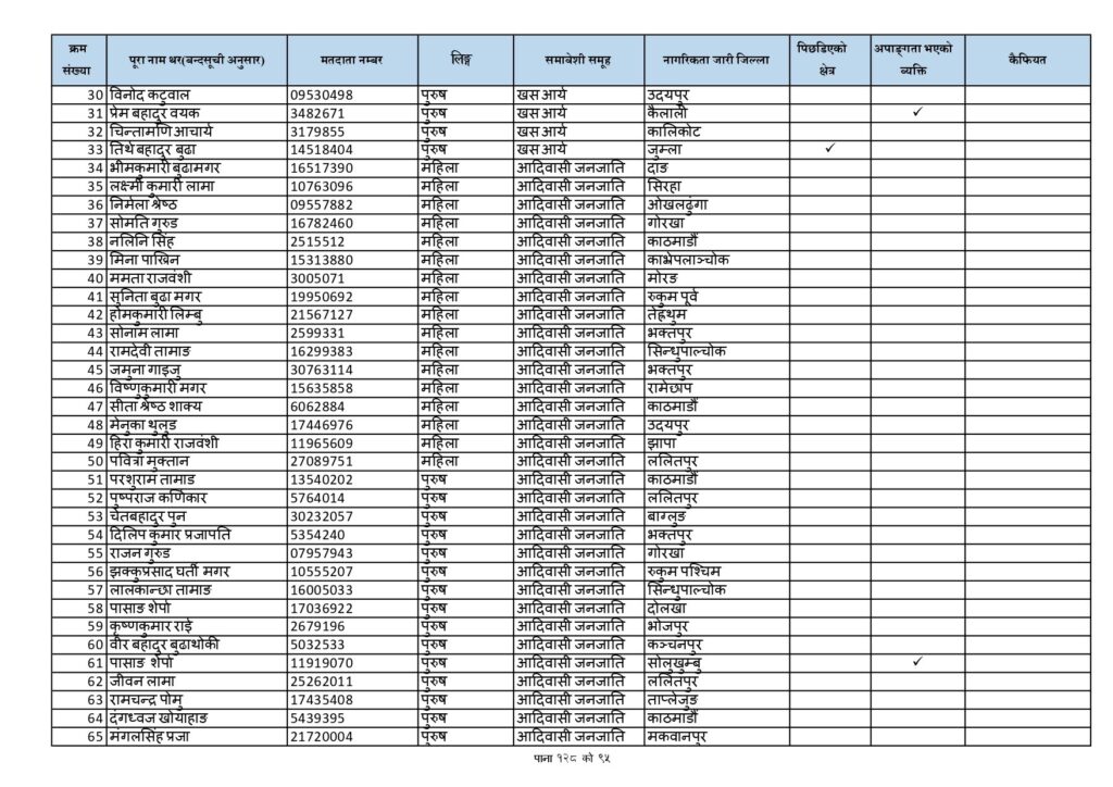
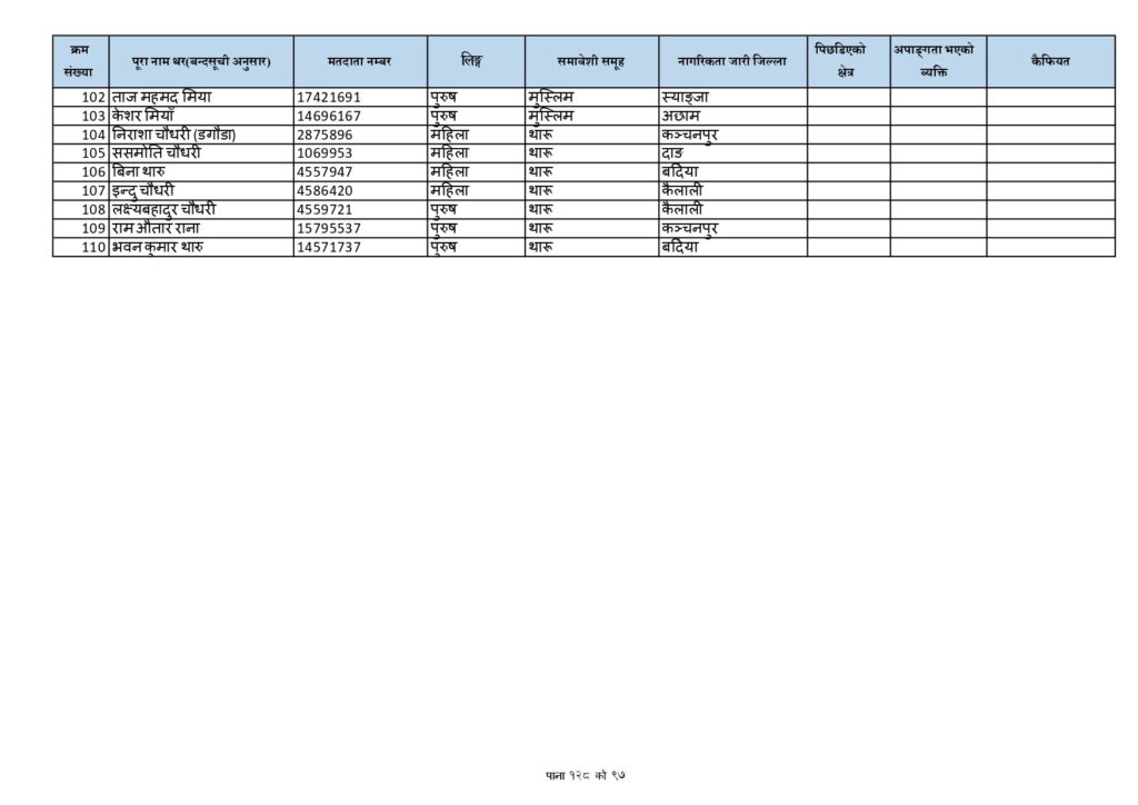
नेकपाकाे ११० काे समानुपातिक बन्द सूची सार्वजनीक, काे हटे, काे थपिए ? नामसहित
नेपाली कम्युनिष्ट पार्टीकाे समानुपातीक उमेदवारकाे बन्द सुची सावर्जनीक भएकाे छ । निर्वाचन अायाेगले सार्वजनीक गरेकाे बन्द सूचीमा ११० जनाकाे नाम समावेश छ । जस अनुसार खसअार्य पुरूषकाे पहिलाे नम्बरमा प्रमेश हमाल रहेका छन् भने महिलातर्फ बलाबती शर्मा रहेकी छीन् । यस अघी महिलातर्फकाे पहिलाे नम्बरमा करूणा बस्नेतकाे नाम रहेकाे थियाे ।
त्यसैगरी अादिवासी जनजाती तर्फकाे पुरूषकाे पहिलाे नम्बरमा परशुराम तामाङ, महिलातर्फ भिमकुमारी बुढामगरकाे नाम रहेकाे छ ।
मधेशीबाट पुरूषतर्फ पहिलाे नम्बरमा जाेगकुमार बर्बरीयाकाे नाम रहेकाे छ भने महिला तर्फ तारा कुमारी महताेकाे नाम रहेकाे छ ।
त्यसैगरी दलिततर्फ महिलातर्फ पार्वती विक र पुरूषतर्फ गणेश विक पहिलाे नबरमा रहेका छन् ।
त्यसैगरी मुस्लिमतर्फ महिलाकाे पहिलाे नम्बरमा रहेकी सकिना मुस्लीमकाे नाम हटाएर कमलुर नसकाे नाम राखेकाे छ भने पुरूषतर्फ ताज महम्मद मियाकाे नाम राखेकाे छ ।
त्यसैगरी थारूतर्फ महिलाकाे पहिलाे नम्बरमा निराशा चाैधरी र पुरूषतर्फ लक्ष्य बहादुर चाैधरीकाे नाम रहेकाे छ ।
हेर्नुहाेस सुची









